掌握穩定性回饋係數計算 大頻寬轉阻放大器更穩定

作者: David Westerman
2008 年 11 月 27 日
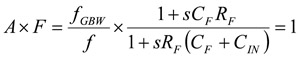
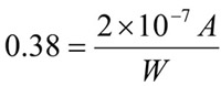
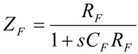
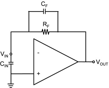
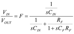
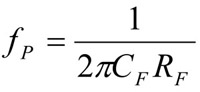
大部分的工程師都知道,只需一個容量夠大的電阻就可使轉阻放大器(Transimpedance Amplifier)將輸入電流轉成合理的輸出電壓範圍,但若要穩定電路,便需有一個夠大的電容與回饋電阻(Feedback...
》想看更多內容?快來【免費加入會員】【登入會員】,享受更多閱讀文章的權限喔!
標籤
相關文章

電源:LED與Flashlamp的優劣比較 照相手機閃光照明的解決方案

2005 年 06 月 02 日

OCC新技術結合CCM與DCM的優點 簡化功率因素校正的應用設計

2005 年 07 月 13 日

提升顯示器出貨品質 FPD膜層檢測技術扮要角

2007 年 08 月 15 日

HDMI 2.1版火熱出爐 高畫質影音需求風起雲湧

2018 年 02 月 12 日

提升效率/縮減尺寸/改進功率密度 耦合電感提升48V變壓效率

2024 年 12 月 04 日

耦合電感助ADAS突破瓶頸 提升系統速度與效率(1)

2024 年 12 月 13 日
前一篇
Epson Imaging Devices多款小尺吋液晶顯示器問世
下一篇
安茂微電子推出脈波寬度調變同步降壓DC-DC轉換器