導入電纜壓降補償功能 充電器實現快充型行動裝置
電纜壓降補償(Cable Drop Compensation)是減少總充電時間的關鍵特性之一。
可攜式裝置額定功率越高,而電池終端電壓越低。如果充電器沒有電纜壓降補償功能,則恆定電壓(CV)工作模式下的低充電電流,將導致施加於電池的電壓較低,且提升速度非常緩慢,導致總充電時間延長。
因此有必要根據負載電流的壓降比,對充電器進行輸出電壓補償來加快充電。本文將介紹一種透過幾個被動元件實現的外部電纜壓降補償方法,其結構簡單且成本低廉。
常用控制器內部不包含電纜壓降補償功能,如果使用控制器不是專門為電池充電系統設計,則須在外部實施補償電路,並採用盡可能少的元件數量。
在既有控制器外實作補償電路
要實現良好的電纜壓降補償,須要對負載電流進行精確測量或估算。根據產生負載電流資訊的方法,目前有兩種解決方案。圖1顯示感測負載電流最簡單的方法。
![]() |
| 圖1 實現電纜壓降補償的直接感測方法 |
感測電阻器感測負載電流
在負載電流返回路徑上有一個感測電阻器Rsense。負載電流增加時,感測電壓Vsense反方向增加。Vsense透過RC被施加到並行穩壓器的參照接腳,由於通過R2的電流是固定的,當Vsense反方向增加時,通過R1的電流增加。因此,輸出電壓VO也隨之增加。當根據負載電纜的阻抗適當選擇RC時,VO得到補償,從而保持電池終端電壓恆定。
因為負載電流是直接感測的,因此這個方法簡單且可靠。然而,感測電阻器的功率損失相當大,特別是對於大功率系統,因此總效率越來越差。為實現補償,需要的是估算負載電流,而非直接的電流感測。
從次級側二極體導通時間估算負載電流
當充電器系統設計採用不連續導通模式(DCM)時,負載電流與初級側中主開關的工作週期或次級側二極體的導通持續時間成比例(圖2)。當初級側的主開關導通時,附加二極體DC陰極上的電壓VDc_K為VO+VIN/n,其中n是變壓器的匝數比。次級側二極體的導通過程中,VDc_K為零;次級側二極體中的電流幹運行後,VDc_K變為VO;基於VDc_K,DC的陽極電壓VDc_A被鉗位在VO。使用R4和C1後,在一個開關週期內VDc_A降低並平均,平均電壓VC1表示次級側二極體的導通持續時間。
![]() |
| 圖2 實現電纜壓降補償的導通時間估算方法 |
如果採用一個非常輕的負載,即VDc_A的零電壓持續時間極短,VC1與輸出電壓VO成比例。隨著負載電流的增加,即VDc_A的零電壓持續時間增加,VC1降低與零電壓持續時間成反比。相較變壓器的磁化電流或負載電流,隨著負載電流的增加,VC1越來越低。
由於並行穩壓器的參照接腳電壓是固定的,因此通過R2的電流始終是恆定的,而輸出電壓由通過R1的電流決定。假設將通過R1的電流設定為適當值,以調整在輕載條件下通過RC的電流來獲得充電器輸出電容的額定輸出電壓VO。隨著負載電流的增加,VC1減少,從而使通過RC的電流減小。為向R2提供一個恆定電流,通過R1的電流隨著通過RC的電流的減少而增加。因此,通過R1的電流增加時,VO增大。
此方法會產生一個訊號,表示無功率損失的次級側二極體的導通持續時間。該方法的另一個優點是只需要使用五個小尺寸元件,但輸出電流不能正確地反映到補償電路。例如當次級側二極體的導通持續時間增加兩倍時,補償電路確認負載增加兩倍,即使由於三角形的面積,實際負載電流增加四倍。
電纜壓降補償功能助力 行動裝置充電加速
電纜壓降補償功能助力 行動裝置充電加速
接下來將對更精確方案進行討論。圖4為建議方案的工作原理。當一個電壓(VA)被施加到一個R-C濾波器時,電容器電壓呈指數增加,如下所示:
![]() |
| 圖4 負載電流估算方法中的關鍵波形 |
![]() |
…………………………..公式1
起點附近的指數曲線斜率通過微分等式1計算得出,如下所示:
![]() |
…………………………..公式2
當電容器電壓的初始條件為零時,曲線從0V開始,斜率為VA。如果選擇的RC時間常數合適,且應用VA的持續時間足夠短,曲線近似直線。使用這一工作原理,可以精確地類比負載電流。
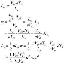
圖3顯示專有解決方案的原理圖。隨著次級側繞組上所施加電壓的變化,第一個R-C濾波器、一個二極體(Rf1、Cf1及Df1)產生一個三角波形。主開關導通時,次級側繞組的電壓為VIN/n,次級側二極體導通時,電壓為VO。因此,Vf1的上升和下降斜率分別與VIN和VO成比例。如果選擇的Rf1Cf1時間常數適當,Vf1的斜率類似磁化電流。因此,這形象地展示變壓器的磁化電流,如圖4中所示。通過第二個R-C濾波器(Rf2及Cf2)的平均電壓Vf2與負載電流成精確比例。負載電流增加時,Vf2反方向增加,並導致VO增加,與先前解決方案中的方式相同。在返馳式轉換器中,負載電流的計算方法如下:
![]() |
| 圖3 實現電纜壓降補償的負載電流估算方法 |
![]() |
…………………………..公式3
其中Ipk為開關的峰值電流,d為工作週期,TS為開關週期,Lm為磁化電感,w為次級二極體導通時間,而IO為負載電流。從公式3中可看出,負載電流與工作週期的平方成正比。在建議解決方案中,平均電壓Vf2的計算方法如下:
![]() |
…………………………..公式4
其中,h是Vf1三角波形的高度,Vf2與工作週期的平方成正比,即使主開關導通期間也可抵消。因此建議方案比其他方案能更精確地反映負載電流。







